
TrigonometryMore Trigonometric Func.Elements of Trigonometry Law of SinesLaw of Cosines Draft for Information Only
Content Trigonometry
TrigonometryTrigonometric functions are related with the properties of triangles. Some laws and formulas are also derived to tackle the problems related to triangles, not just right-angled triangles. The Law of Tangents
The law of Tangents or tangent rule are related to the tangent or cotangent functions of angles included in a triangle and the sides of the triangle. The Law of tangents states that for a given arbitrary triangle with angle-side opposite pairs (A,a), (B,b) and (C,c), the ratio of the difference of two sides to the sum of the two sides are equal to the ratio of the tangent function of the half of the difference of angles opposite to the two sides to the tangent function of the half of the sum of angles opposite to the two sides. Imply
Through rearrangement of terms, the law of tangents can be used in any case when two angles and one of their opposite sides are known. Imply
The law of tangents can be used in any case when two sides and the included angle are known. Since the internal angle sum of a triangle is equal to π, imply π=A+B+C and (A+B)=π-C . If C is know, then A+B is known and angles A and B can be deduced from A-B also. That is A=((A+B)+(A-B))/2. Imply
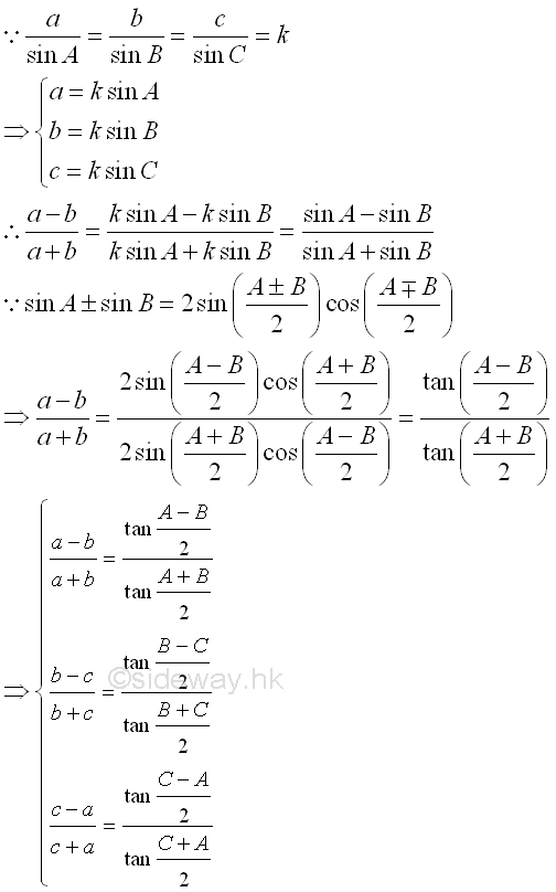
The law of tagents can be derived from the law of sines trigonometrically. According to the law of sines, the ratio of side over the angle of the side opposite is equal to a constant k, sides of a triangle can therefore be expressed in terms of the sine function of the angle of the side opposite. That is a=k(sin A), b=k(sin B), and c=k(sin C). The ratio of the difference of two sides to the sum of the two sides for any triangly can also be obtained accordingly and is equal to the ratio of the difference of the two sine functions of the two angles of sides opposite to the sum of the two sine functions of the two angles of sides opposite. And the ratio can further be reduced to the law of tangent by using the trigonometryic identities. Imply
©sideway ID: 130600020 Last Updated: 6/19/2013 Revision: 1 Ref: References
Latest Updated Links
Nu Html Checker 53 na |
![]() Home 5 Business Management HBR 3 Information Recreation Hobbies 9 Culture Chinese 1097 English 339 Travel 40 Reference 79 Hardware 55 Computer Hardware 260 Software Application 213 Digitization 37 Latex 52 Manim 205 KB 1 Numeric 19 Programming Web 289 Unicode 504 HTML 66 CSS 65 SVG 46 ASP.NET 270 OS 431 DeskTop 7 Python 72 Knowledge Mathematics Formulas 8 Set 1 Logic 1 Algebra 84 Number Theory 206 Trigonometry 31 Geometry 34 Calculus 67 Engineering Tables 8 Mechanical Rigid Bodies Statics 92 Dynamics 37 Fluid 5 Control Acoustics 19 Natural Sciences Matter 1 Electric 27 Biology 1 |
Copyright © 2000-2026 Sideway . All rights reserved Disclaimers last modified on 06 September 2019