
TrigonometryMore Trigonometric Func.Elements of Trigonometry Law of SinesLaw of CosinesLaw of Tangents Draft for Information Only
Content Trigonometry
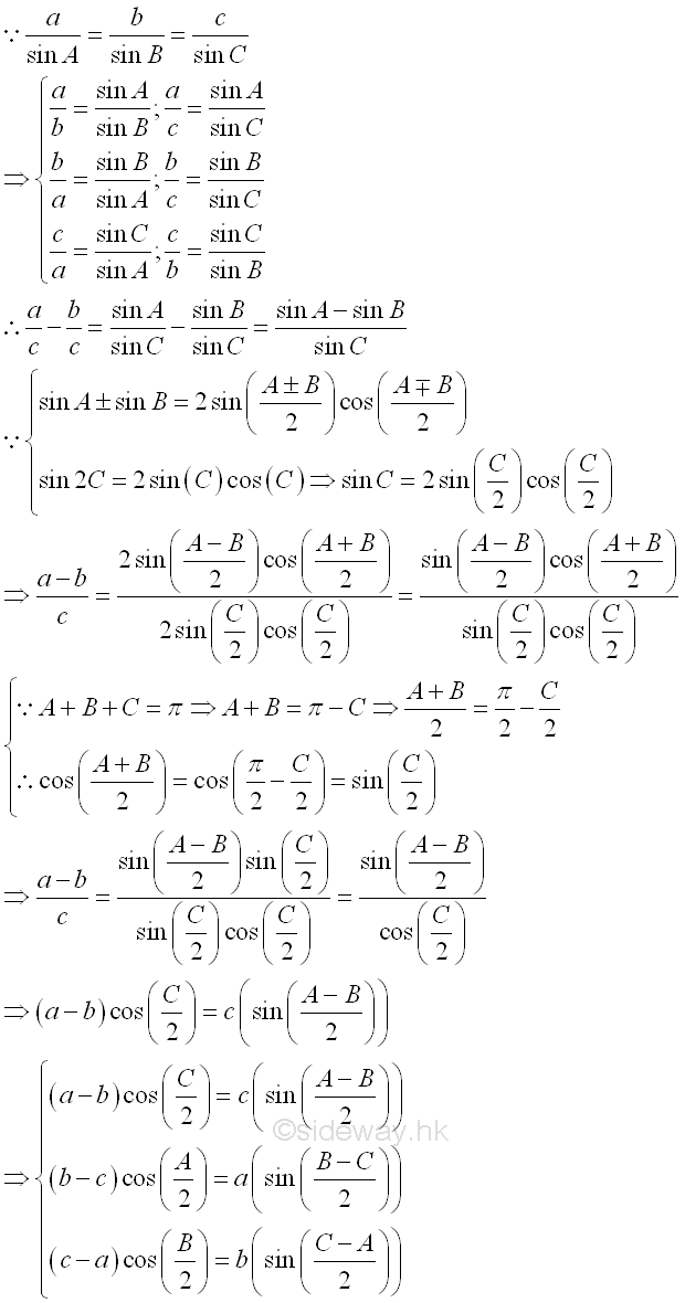
TrigonometryTrigonometric functions are related with the properties of triangles. Some laws and formulas are also derived to tackle the problems related to triangles, not just right-angled triangles. Mollweide's Equation
Similar to the law of tangents, Mollweide's equations are also related to the trigonometric functions of angles included in a triangle and the sides of the triangle. Mollweide's equation can also be derived from the law of sines trigonometrically. According to the law of sines, the ratio of side over the angle of the side opposite is always equal, so the ratio of sides of a triangle is always equal to the ratio of the sine function of the angle opposite also. Therefore through algebric addition or substraction, sides of a triangle can be expressed in terms of the trigonometric function of the angles included in a triangle. For the addition of two ratio of sides, also called Newton's Formulas. Imply
For the subtraction of two ratio of sides. Imply
©sideway ID: 130600027 Last Updated: 6/26/2013 Revision: 1 Ref: References
Latest Updated Links
Nu Html Checker 53 na |
![]() Home 5 Business Management HBR 3 Information Recreation Hobbies 9 Culture Chinese 1097 English 339 Travel 40 Reference 79 Hardware 55 Computer Hardware 260 Software Application 213 Digitization 37 Latex 52 Manim 205 KB 1 Numeric 19 Programming Web 289 Unicode 504 HTML 66 CSS 65 SVG 46 ASP.NET 270 OS 431 DeskTop 7 Python 72 Knowledge Mathematics Formulas 8 Set 1 Logic 1 Algebra 84 Number Theory 206 Trigonometry 31 Geometry 34 Calculus 67 Engineering Tables 8 Mechanical Rigid Bodies Statics 92 Dynamics 37 Fluid 5 Control Acoustics 19 Natural Sciences Matter 1 Electric 27 Biology 1 |
Copyright © 2000-2026 Sideway . All rights reserved Disclaimers last modified on 06 September 2019